ARM Assembly를 이해하기 위해서는 또 간단한 명령어들을 쫌 알아주셔야 이해하기도 편하고 하겠지요? 뭐 실은 아주 자주 사용하는 것들만 여기에 잘 써주시고 나머지 복잡한 명령어들은 ARM 책들이나 인터넷에 흩뿌려진 자료들을 참조하는 것이 훨씬~ 도움이 되리라고 생각하고 있습니다. 그래서 아주 기본적인 Assembly 명령어와 특징들 그리고 syntax를 살펴 보도록 하는 지루하고 무익한 시간을 갖겠습니다.
- 남들이 보면 이런 왕 망할 초간단 Assembly 설명은 도대체 무엇이냐 하고 비난할 만 합니다만, 저는 이런 거는 C 알고리즘 책에 C syntax를 설명해서 지면만 엄청 차지 하는 것과 같다고 봅니다. 그래서 이 section에서는 정말 기본 적인 것들만 다뤄 주시고 그때 그때 필요할 때 다시 언급하는 수작을 부리도록 하겠습니다. 지못미 -
일단 알아두셔야 하는 것 중에 하나는 ARM assembly는 아주 기본 뼈대 명령어 뒤에 조건이나 덧붙임 명령어를 더 붙여서 활용한다는 concept을 이해하셔야 합니다. 이건 중요하니까 꼭 기억해 두세요.
일단은 어떤 종류의 명령어들이 있는지 아시면 조금 더 편할 테니까, 그 종류들을 나열해 볼게요. 잘 봐두세요. 제일 많고 까다로운 부분은 Data Processing과 곱셈 부분인데 이부분은 중요한 몇 개만 봐두고 넘어갈 거니까 아쉬워는 마시고요 ㅋ.
그리고 ARM Assembly는
명령어 Rd, 뭐 어쩌구
의 형식을 많이 갖는데 맨 앞의 Rd가 destination이 되는 형식이에요. “뭐 어쩌구를 어떻게 해서 Rd에 넣는다”가 그 기본 idea이고요. 단, 밑에서 보겠지만 STR만이 대상이 거꾸로 되어 있습니다. 근데 그 형식 자체가 그야말로 거꾸로 될 수 밖에 없는 구조지만 말이에요.
Assembly의 형식을 유식한 표현으로는 OP 코드 + Operand 라고 표현하는데요, 명령어가 OP 코드 - 즉, instruction - 라고 불리고요, 뒤에 오는 내용들이 Operand라고 불리는데, Operand에는 Register를 어떻게 다룰 것이냐 뭐 이런 내용들인 게죠.
앞에서도 언급했지만, Assembly를 설명하면서 * (레지스터이름) 등의 pointer 형식의 설명을 쓸 때가 더러 있는데, 이건 레지스터이름의 값은 주소이고 이 주소가 가리키는 곳의 값을 의미합니다. 이게 편할 때도 있어 가끔 사용하니까 주의해 주세요. 레츠고.
1. Branch 명령어.
B, BL, BX, BLX
2. Data Processing
MOV, MVN, CMP, CMN, TST, TEQ, ADD, SUB ...
3. Load/ Store
LDR, STR...
4. 의사 명령어
LDR, ADR
5. SWAP 명령
SWP
6. PSR 명령
MRS, MSR
7. SWI 명령
SWI
8. DCD directives
9. EXPORT, IMPORT
10. 덧붙임 명령어들 ^ ! S자자, 1번 부터 차례로 잘근 잘근 씹어주시죠.
1. Branch 명령어.
Branch 명령어는 pc에 주소를 넣고서 넣어진 주소로 프로그램 실행 번지를 바꾸는 역할을 하며, 보통 함수가 호출 되었을 때 대상 함수로 jump하기 위해서 삽입 됩니다.
B <주소> 로 사용되며, 그 변종으로는 L이나 X를 덧붙여서 만들어 냅니다.
B _printf ; _printf로 jump 하라
BL _printf ; _printf로 jump를 히되 R14에 돌아올 주소를 넣고 가라.
돌아와야 되니까 R14 (LR)에 돌아올 주소를 꼭~ 넣어라~
BX _printf ; 현재 mode가 ARM이라면 Thumb으로 mode바꾸고 가고 Thumb라면 ARM으로 mode 잘 바꿔서 가라.
BLX _printf ; 위 두 개의 짬뽕이다.
자 여기서도 보듯이 L과 X만으로도 변종을 만들어서 사용하는게 ARM Assembly의 철학입니다. 이제부터 계속 이런 식이니까 잘 보세요.
2. Data Processing
대상 레지스터 Rd에 뭔가를 장난쳐서 집어 넣는 것이 대부분 입니다.
명령어, 대상레지스터, 장난레지스터, 레지스터 또는 값. 형식이고
대상레지스터:= 장난레지스터와 레지스터 또는 값을 명령어로 장난 침.
MOV Rd, 레지스터 또는 값. Rd:=레지스터 또는 값
MOV R1, R2 R1:=R2
MVN Rd, 레지스터 또는 값. Rd:=레지스터 또는 값의 음의 값
MVN R1, #0 R1:=0xFFFFFFFF
ADD Rd, Rn, 레지스터 또는 값. Rd:= Rn+레지스터 또는 값.
ADD R0, R1, R2 R0:= R1 + R2
SUB Rd, Rn, 레지스터 또는 값. Rd:= Rn - 레지스터 또는 값.
SUB R0, R1, #5 R0:= R1 - 5
RSB Rd, 레지스터 또는 값, Rn Rd = 레지스터 또는 값 - Rn (역으로 빼기)
RSB R0, R2, R3 R0 = R3 - R2
AND Rd, Rn, 레지스터 또는 값 Rd:=Rn&레지스터 또는 값 (bit & 연산)
AND R0, R2, R3 R0:= R2 & R3
BIC Rd, Rn, 레지스터 또는 값 Rd:=Rn&~(레지스터 또는 값)
BIC R0, R2, R3 R0:= R2 & ~R3 (R3의 1이 들어 있는 filed만 0으로 set)
CMP Rn, 레지스터 또는 값 Rn - 레지스터 또는 값을 conditon field에 update↔
CMP R0, R2 R0>R2 면 다음 조건에서 큰 경우, 아니면 작은 경우라고 해석
3. Load/ Store
대상 레지스터에 Memory 주소가 가르키는 곳의 값을 가져오는 일을 합니다. 여기에서 Assembly중 특이한 사항은 pointer와 비스므리한 syntax가 있다는 것인데 바로 [Rn] = *Rn 이라는 뜻입니다. 결국 Rn이 가르키는 곳의 값이라는 뜻입니다. 또 재미있는 것이 하나 있는데 "!" 연산자 입니다. 뒤에 !를 붙이면 !가 붙은 곳의 값을 update하라는 뜻입니다. 좀 말이 헷갈리는데 아래를 보면 좀 나아 질 꺼에요. !는 Write back 연산자라고 부른답니다.
LDR r1, [r2]
는 r1에 r2에 들어 있는 값을 주소로 보고 그 주소에 있는 값을 가져와라는 뜻이에요. 예를 들어 r2에 0x100이 들어 있었고, 0x100번지에 3이 들어 있었다면 r1값은 3이 되는거죠. 그리고 LDR r1, [r2]! ,0x100 이라고 쓰면 r1값은 3이 되고요 r2는 r2= r2+0x100이 되는 거구요. 간단한데 여기에 좀더 복잡한 indexing 방식이 있어 소개해야 하겠습니다. 명령어 대상레지스터, 주소. 형식으로서 LDR인 경우 대상레지스터에 Load를 하고 Store인 경우에는 대상레지스터를 저장하는 형식입니다.
LDR Rd, [Rn, offset] Rd:= *(Rn + offset)
LDR Rd, [Rn + 0x100] Rd:= * (Rn + 0x100), Rn은 그대로.
LDR Rd, [Rn, offset]! Rn:=Rn+Offset, Rd=*(Rn)
LDR Rd, [Rn + 0x100]! Rn:= Rn+0x100으로update, Rd = *(Rn)
으흐흐 웃기죠 이런걸 pre-index방식이라고 부르기도 합니다.
뭐 말만 멋있게 만들었지 별거 아닙니다요.
LDR Rd, [Rn], offset Rd:= *(Rn), Rn:= Rn+0x100으로 update
이건 또 특이하죠. Rn이 operation후 update됩니다.
요런걸 post index방식이라고 유식한 척들 합니다.
Post index방식은 !를 안붙여도 Rn이 update됩니다.
STR의 경우에도 위의 LDR자리에서 STR로만 바꾸면 똑같고요. 딱 하나만 예를 든다면
STR Rd, [Rn, offset] 이라면 *(Rn + offset) = Rd 입니다 똑같죠? 괜히 했나...?
LDRB (byte), LDRH (Halfword), LDRSB (signed byte), LDRSH (signed halfword)
STRB (byte), STRH (Halfword), STRSB (signed byte), STRSH (signed halfword)
과 같이 뒤쪽에 크기를 붙여서 여러가지 size를 Load 또는 Store할 수 있습니다.
뭐 잘 외우려면 괄호가 붙어 있는거 먼저 하면 되어요. 근데 별로 외우기 싶지 않네요. 안타깝다. LDR Rd, 0x1000 같은 숫자가 직접 오는 경우가 있는데요. 요건 Rd에 0x1000번지에 들어 있는 값을 Load해라라는 의미에요. 요것도 좀 헷갈리죠. 주의 사항으로는 R15가 Rn (base register)가 될 때는 ! (Write back) 연산자를 사용할 수 없습니다. 이걸 사용하면 R15가 마음대로 update되어버려 알수 없는 일을 저지를 지 모르지요. 이외 Multiple Store/ Load명령어는 Stack관련한 Chapter에서 자세히 다루고 있어요.
4. 의사 명령어
의사 명령어라 해서 굳이 특별한 건 아니고, 가짜 명령어라고 해야죠. 편의를 위해서 Assembly에는 있지만, 실제로 처리는 다른 방법으로 처리하는 명령어를 의미하는데, 특별한 주소에 값을 loading할 때 이런 명령어가 사용됩니다. 그 명령어에는 LDR, ADR있고요. 그 사용 예를 보시는 게 제일 이해하기 빠른 길이 아닌가 싶습니다.
LDR Rd, Label
이런 식으로 Assembly를 작성해 주시면, Compiler가 최종 Mnemonic을 만들 때 Label을 [PC, #offset] 형태로 다시 만들어 주고요. 결국에는 LDR Rd, =[PC + offset]이 되며, 결론적으로 Rd = * (PC + offset) 형태로 만들어서 data를 loading하게 해줍니다. Assembly로는 간단하게 한 줄로 쓰지만, 실제 compile되면 위와 같이 몇 가지 Assembly가 합쳐져서 같은 일을 하게 되지요. 이런 의사 명령어를 사용할 경우 메모리 접근 시간과 Compiler에서 같은 효과 처리를 위한 명령어를 더 추가하기 때문에, Code 크기도 늘어나고, 시간도 많이 들기 때문에 꼭 필요할 때만 쓰는 운용의 묘를 가져야 해요.
어떻게 하느냐 하면,
LDR r0, TARGET 이라고 쓰면
내부적으로는
LDR r0 ,[PC,#offset]
.
.
offset 만큼 떨어져 있다.
TARGET :
DCD 0xFFFFFFFF
이라고 해석 되고요. 결국엔, LDR r0, =0xFFFFFFFF 을 실행하게 되는 셈이지요.
여기에 값을 Register에 Loading하는 방법을 하나더 쌍콤하게 더하자면 ADR Rd, Label도 먹어요. ADR의 경우에는 Label을 직접 써주면, Label의 Adderss를 Rd에 알아서 저장해준다는 거지요.
32 bit 상수값을 Register에 직접 Loading하는 방법에 LDR이 쓰이기도 합니다. LDR Rd, = 0xFFFFFFFF 뭐 이런 식으로 말입니다.
이런 가짜 명령어가 왜 필요하느냐! 하면, 첫 번째로, Branch 명령어의 경우 32 bit중 Branch 명령어 자체가 차지하는 9bit를 제외한 23bit를 branch하는 주소로 사용하는데, 이 23bit를 ARM 명령어로 생각해서 4 byte당 한 주소씩으로 따져 2비트 Left shift을 사용해 봤자 분기 영역은 최대로 상수 표현 범위(pc ± 32MB) 라서 필요에 따라 그 이상의 분기가 필요할 때 32 bit를 fully 사용 가능한 의사 명령어를 이용한답니다. Thumb에서의 Branch의 경우에는 더욱 최악이라, pc ± 4MB 밖에 되지 않기 때문에 이런 의사 명령어가 꼭 필요할 때도 있어요. 왜 4MB이냐 하면, Thumb에서 BL 명령어 자체가 16 bit중에 5bit를 잡아 먹고요. 11bit 가지고 jump할 수 있는데요. 이것 갖고는 택도 없으니까, BL 명령어 자체가 두 단계 명령어로 구성되어 있어요. 원래 BL 명령어의 4K 하고 바로 다음에 OR 명령이 오는데, 이 명령어를 제외하고, 10bit를 offset으로 또 사용 가능해서 BL자체의 offset과 바로 다음에 오는 OR명령을 이용해서 전체 21bi를 사용가능하고요. 2byte씩 묶어서 jump할 수 있으니까, 4MB씩 쓸 수 있는 거죠. 꼭 주소가 아니더라도, 32bit중에는 Assembly 자체가 차지하는 공간이 꼭 있어서, 32 bit 상수를 그대로 register에 loading할 수 있는 방법이 없으니까, 이런 꽁수를 써서 하게 되는 거지요. 하지만, 이런 의사 명령어를 남발한다 하여도, Register에 한번에 loading할 수 있는 크기라면, 곧바로 MOV나, MVN으로 Compile해 준답니다. 예를 들어, MOV의 경우에는 ldr r0, =0xff 요렇게 Assembly를 만들어 넣었더라도, mov ro,#0xff 요렇게 만들어 주죠. 똑똑한 녀석.
5. SWAP 명령
SWP 명령어는 일반 memory 영역의 값과 register값을 바꿔치는데 사용합니다. 뭐 별거 있겠습니까 그냥 바꾸고 싶을 때 바꿔치는 거죠. 이 명령을 이용할 때는 두가지 일을 함에도 불구하고, Interrupt가 걸리지 않는 다는 특성이 있어서 Semaphore등을 구현할 때 사용한다고는 합디다.
SWP R0, R1, [R2] : R0 = *(R2), *(R2) = R1 이 되는거죠.
원래
*(R2) = 0x10, R1= 0x20 이었다면,
*(R2) = 0x20, R0 = 0x10, 이 되는거죠.
SWP R0, R1, [R2]
0x20 0x10
0x10 0x20
뭐, 엄밀히 말하면 R0이 tmp처럼 들어갔지만, 값을 빼앗아 오긴 하네요. 음. 글쎄요.. 한번에 하는 명령이니까 좋긴한데 헷갈리니까 저는 잘 쓰지 않습니다. ㅋㅋ 하지만 R15 (PC)에 사용하면 안되니까, 그건 주의하세요.■
6. PSR 명령
PSR명령어란 다름이 아니라, CPSR과 SPSR 두개와 일반 Register 사이를에 값을 서로 복사할 수 있는 명령어들을 말해요, MRS, MSR 두개로 모든걸 처리합니다.
예를 들어,
MRS r5, CPSR : r5:=CPSR
MSR CPSR, r5 : CPSR:=r5
라는 뜻이에요.
좀 헷갈리죠. S는 PSR을 의미하고, R은 일반 Register를 의미해요. 그리고 방향은 M X ← Y 이런 형태이고요. 그러니까 MRS는 Register ←PSR, MSR은 PSR ← Register라고 아시면 되겠습니다. 그런데, PSR은 여러가지 구성으로 되어 있지요. 특히나 flag와 condition 부분이 있는데, 이런 녀석들을 따로 쓰기 위해서 특별한 mask가 준비되어 있습니다. 그 녀석들은 CPSR_c (control), CPSR_f (flag), CPSR_cf (control, flag)로 준비되어 있는데, MSR을 이용해서 PSR을 update할 때 사용됩니다. 예를 들어, MSR CPSR_c, r5라고 쓰면 CPSR의 control field에 r5값을 넣습니다. 똑같이 MSR CPSR_f, r5이면 flag field에 r5값을 넣는 거구요, Exception발생한 후 뒷처리를 할 때나, 아니면 굳이 mode를 바꿔야 할 때 이 명령어를 사용해서 장난치게 됩니다. 자세한 내용은 Inline Assembly 편에서 다시 공부해 보아요.
7. SWI 명령
Software Interrupt 명령은 Software가 Exception을 일부러 발생시킬 수 있는 유일한 명령입니다. 보통 user mode에서 다른 mode로 전환할 때 사용하는데, 가장 큰 용례로서는 kernel은 SVC mode, 일반 application은 user mode일 때 일반 application이 kenel에게 뭔가 부탁할 때 이런 명령어가 쓰입니다.
SWI 0x11 : Software Interrupt Handler에서 0x11번째 case를 호출.
8. DCD directives : 이 Directive를 만나면 Data를 위한 메모리를 할당해 준답니다. 여러개를 늘어 놓으면 여러개의 Array처럼 쓸 수도 있어요.
DCB 1Byte 짜리 Data
DCW 2Byte 짜리 Data
DCD 4Byte 짜리 Data
DCQ 8Byte 짜리
Data Assembly 최초 예제 코드에 그예가 나와 있지요? 여기에 Label까지 지정하게 되면 주소를 Symbol로 관리해 줘요. 재미있는 사용 예로는, DCB와 '='는 같은거구요, DCD는 '&'와 같습니다요. 뭐 다시 말하면, DCD는 특정한 Memory 영역에 내가 원하는 값을 넣어 놓도록 memory를 확보해 놓아라 라는 뜻입니다. 의사 명령어에서도 나왔었는데,
0x1000 ldr r0, =0xFFFFFFFF → ldr r0 ,[PC,#offset]
.
.
00x1000+offset DCD 0xFFFFFFFF
이런식으로 만들어 주면 00x1000+offset 주소에는 0xFFFFFFFF이 들어 있도록 compiler (linker)가 조작해 준답니다. 다른 식으로 사용하는 예는
MY_DATA DCD 0xFFFF0000
이런식으로 Label을 주고서, 그곳에 0xFFFF0000을 해 놓으면,
MY_DATA를 Access하면 그곳에는 0xFFFF0000가 들어 있는 꼴이지요. 또는 Symbol 자체도 넣을 수가 있어요.
INT_RESET_PHY
DCD INT_RESET_LOGICS
라고 써주면,
INT_RESET_LOGICS의 주소를 INT_RESET_PHY로 재정의 해서 사용하겠다. 라는 의미죠. - INT_RESET_LOGICS가 함수라면 함수의 시작주소 - 비스므리 한거로는 SPACE 라는 명렁어로서, SPACE 8 하면 8byte만큼 0으로 채워진 메모리 영역을 예약해 줍니다요. 어디다 쓰냐고요? static으로 선언된 로컬 변수처럼 써도 되겠네요? 왜냐하면 자신만의 주소를 갖는 변수가 하나 생겼는데, 남들은 Access못하고, 자기만 Access 가능하니까, Static 처럼 쓸 수 있는거에요.
9. EXPORT, IMPORT directive
이건 아주 재미있는 표현인데요, Assembly에서 사용된 Symbol을 외부에서 사용가능하도록 하는 Directive인데요, Export는 외부에서 가져다 쓸 수 있도록 해주고요, Import는 어디선가 Export된 걸 가져다 쓴다는 의미 입니다. Export 는 Global로 사용하겠다는 뜻, Import는 extern 이라는 뜻입니다. C하고 비슷하긴 하지만, 전역으로 쓰겠다는 것도 알려줘야 하는게 좀 다르지요. EXPORT는 GLOBAL하고 같은 말이기도 해요. 그리고, 이렇게 선언된 Symbol들은 뒤에 WEAK를 붙여서 Weak Symbol로 만들어 줄 수도 있답니다. Weak Symbol은 잘 아시다 시피, 똑같은 이름의 Symbol이 더 있을 수 있다는 의미이고요 (똑같은 이름이 또 있어도, Duplicate Error안나요) Linker도 Weak Symbol이 아닌 Strong Symbol을 link해 준답니다.
10. FIELD와 MAP (같은 표현으로는 ^와 # 있어요)
directive FILED MAP # 모두 같은 말인데요, 여하간 C에서 Struct 구조체 선언할 때랑 비슷한 용법으로 사용해요. MAP은 시작 주소를 알려주고요, FIELD를 이용해서 메모리를 확보해요.
MAP 0x1000, r5 ; 이곳의 주소는 r5+0x1000
member FIELD 4 ; member라는 이름의 32bit 메모리 확보, 0x1004 + r5
count FIELD 4 ; count 라는 이름의 32bit 메모리 확보, 0x1008 + r5
사용법은
ADR r5, Data : r5에 Data의 주소를 Load
LDR r0, member ; r0에는 Data시작주소 + 0x1004
요렇게 쓰지요. 한가지 재미있는건 MAP 0x1000, r5 에서 r5를 base register라고 하는데이걸 안 줄 수도 있고요, 그러면 절대 주소로 0x1000에 할당되겠죠!
11. 덧붙임 명령어들 ! ^ S
! : 요건 index 에서 봤죠? base register를 update해라! 라는 뜻이에요.
S : 계산 후 CPSR에 SPSR을 넣어 복구하는 명령어.
^ : PC가 포함된 경우는 연산 후 CPSR에 SPSR을 넣어 복구
or SYSTEM/USER 모드가 아닌 경우이고 PC가 없는 경우는 SYSTEM/USER 모드 레지스터에 값을 LDR/STR
뭐 위의 모든 명령어가 다 들어가 있는건 아니지만, 뭐 대충 많이 쓰는 것들을 살펴 보았구요. 더 자세한 것들은 ARM Assembly 책을 찾아 보심이 어떠할까 생각합니다. 대체로 짧은 Assembly는 해석할 수 있을 수준은 된거 같은데 다음의 Assembly를 한번 연습해 봅시다. 어떤 의미인지 해석해 보세요. 좋은 연습이 되었으면 하는 작은 바램이 있네요.
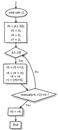
; generated by Thumb C Compiler, ADS1.2 [Build 805];
commandline [-O2 -S -IC:\apps\ADS12\INCLUDE]
CODE16
AREA ||.text||, CODE, READONLY
calc PROC
PUSH {r3-r7,lr}
LDR r6,|L1.32|
MOV r5,r0
MOV r4,#0
MOV r7,#2
|L1.10|
LSL r5,r5,r7
ADD r4,r4,r5
MOV r0,r4
LDR r1,[r6,#4] ; data
BL manual
CMP r0,#0
BNE |L1.10|
MOV r0,r4
POP {r3-r7,pc}
DCW 0000
|L1.32| DATA
DCD data
ENDP
AREA ||.data||, DATA, ALIGN=2||.data$0||
data
DCB 0x0000000a
DCB 0x00000014
DCB 0x0000001e
DCB 0x0000002
제가 한번 해석해 보겠습니다. 뭐 제가 해석한다고 크게 달라지지는 않겠지만서도요. 한번 해보는 것과 안해보는 건 하늘과 땅차이니까 한번만 해보세요.
; generated by Thumb C Compiler, ADS1.2 [Build 805]
; commandline [-O2 -S -IC:\apps\ADS12\INCLUDE]
CODE16 1. 일단 Thumb mode compile되었군요.
AREA ||.text||, CODE, READONLY 2. Section 이름은 ||.text||이고 code네요.
calc PROC 3. 함수 이름이 calc라는 걸로 구현되어 있나 봐여
PUSH {r0-r7,lr} 4. 어디선가 불리면서 r0~r6을 stack에 넣고, lr도 넣네요.
LDR r6,|L1.32| 5. r6에 |L1.32|의 주소를 넣고서..
MOV r5,r0 6. 뭔지 모르겠지만 r0는 argument로 받았고
이녀석을 r5에 복사하네요?
MOV r4,#0 7. r4에는 0을 넣고요.
MOV r7,#2 8. r6에는 2를 넣습니다.
|L1.10|
LSL r5,r5, r7 9. r5를 r7만큼 shift해서 r5에 넣고
ADD r4,r4,r5 10. r4에 다시 r4와 r5를 더한 것을 넣어요.
MOV r0,r4 11. r4을 r0에 넣고서
LDR r1,[r6,#4] ; data 12. r6가 가르키는 곳에서 4만큼 더한 곳의 값을 r1에..
BL manual 13. manual이라는 함수로 r0와 r1의 값을 가지고 jump
LR에는 CMP r0, #0를 넣고서..
CMP r0,#0 14. manul의 return값이 0인지 확인해서
BNE |L1.10| 15. 0이 아니면 |L1.10|으로 jump
MOV r0,r4 16. 이제 돌아가기 위해서 r4를 r0에 넣고
POP {r3-r7,pc} 17. 이 함수를 부른 곳으로 돌아간다 .
DCW 0000
|L1.32| DATA
DCD data
ENDP AREA ||.data||, DATA, ALIGN=2||.data$0||
data
DCB 0x0000000a
DCB 0x00000014
DCB 0x0000001e
DCB 0x0000002대충 감이 오세요?뭐 별건 아니지만 그림으로 그리면 다음과 같은 Story입니다.

일단은 뭔가를 loop를 돌고 있는데, manual 이라는 함수의 결과 값이 0이면 계속 loop를 도는 형태로서, 그 loop안에서는 r5가 계속 2의 좌승 형태로 늘어나면서 r4에 저장되는 형태를 취하고 있고요. manual의 argument는 계속 저장되는 r4와 특정 memory 영역에서 가져온 값인 r1, 2개를 갖습니다. 또한 이 함수는 return값으로 계속 저장된 값 r4를 최종적으로 돌려주게 되어 있는 형태 입니다. 대충 감 오시는 지요? 이 녀석을 대충의 c code로 다시 reverse engineering해 보면 다음과 같이 상상해 볼 수 있을 것입니다.
byte data[] = { 10, 20, 30, 40};
int calc (int a)
{
int sum=0; //아마도 r4
while (1)
{
a = a^4; // 여기에서 재미있는 사실은 ^4할 때마다 <<2를 해주면 같은 효과
// 아마도 r5
sum = sum + a ; // r4 = r4 + r5
if (manual (sum,data[1])) // r4와 r6이 가르키는 이상한 data를 manual로 넘겨줌.
break; // 조건이 return이 0이 아니면 끝.
}
return sum; // r4를 return함.
}
어때요? 생각한 것과 비슷한 느낌입니까~? 이렇게 몇번만 Assembly를 쳐다보면서 상상을 하다보면 Assembly 느는건 한순간이에요 음화화.
친절한 임베디드 시스템 개발자 되기 강좌 글 전체 리스트 (링크) -

댓글